
Neuroreader® is an FDA-cleared, CE-marked brain volumetric analysis software that transforms routine brain MRI into objective brain health insight. By precisely measuring brain structure and identifying patterns of atrophy, Neuroreader® helps clinicians better understand brain health over time, supporting earlier insight, improved differentiation, and confident clinical decision-making.
Developed by Brainreader, Neuroreader® is used globally by neuroradiologists, neurologists, and imaging centers as part of a brain health–first approach to neuroimaging.
Why Quantitative Brain Volumetrics Matter
Visual inspection alone may not detect subtle structural atrophy in early neurodegenerative disease or mild traumatic brain injury. Manual segmentation is time-intensive and subject to inter-reader variability.
Neuroreader® provides automated, standardized brain volumetric analysis that:
- Reduces subjectivity
- Enhances reproducibility
- Supports earlier insight
- Enables objective longitudinal tracking
Routine MRI becomes measurable, comparable, and trackable.

What Neuroreader® Delivers
Comprehensive Brain Quantification
- Measures 83 brain volumes, including hippocampus, ventricles, lobes, and additional key structures
- Outputs volumes in mL, percentiles, and Z-scores
- Includes Total Intracranial Volume (mTIV) adjustment
Fast, Automated Results
- Entire brain processed in under 10 minutes
- No manual tracing required
- Automated segmentation enhances workflow efficiency
Normative Comparisons
Volumes are compared against an FDA-cleared normative database using:
- Age adjustment
- Sex adjustment
- Head size (mTIV) normalization
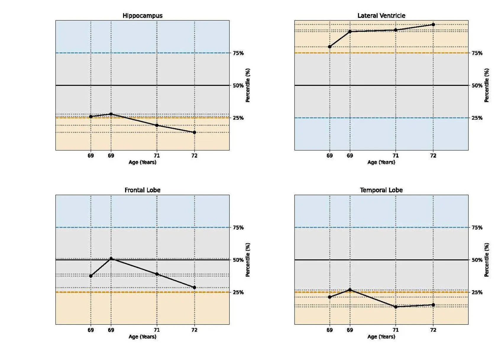
Longitudinal Tracking
- Trend charts across repeat MRI studies
- Whole-brain and regional volume change visualization
- Objective monitoring of disease progression
Asymmetry analysis for TBI
- Left-Right Asymmetry Index (13 structures)
- Supports evaluation of traumatic brain injury and focal structural changes
- Enhances reproducibility in subtle cases
Flexible Deployment
- PACS integration
- Secure web portal access
- Designed for clinical and enterprise environments
Clinical Applications of Automated Brain Volumetrics
Dementia & Neurodegeneration
Volumetric MRI supports evaluation of patients with suspected cognitive impairment.
Neuroreader® provides:
- Objective hippocampal measurements
- Whole-brain atrophy assessment
- Regional structural comparisons
Demographic-adjusted analyses assist clinicians in identifying early biomarkers of neurodegeneration.
Traumatic Brain Injury (TBI)
Subtle structural changes may not be visually apparent on routine MRI.
Neuroreader® provides:
- Objective volumetric measurements
- Left-right asymmetry indices
- Standardized segmentation
This supports interpretation in TBI and mesial temporal sclerosis cases.
Longitudinal Monitoring
Across repeat studies, Neuroreader® enables visualization of:
- Percentile shifts
- Whole-brain volume change
- Regional structural progression
Longitudinal volumetrics may assist clinicians in monitoring disease progression and evaluating treatment response.
How Neuroreader® Fits Into the MRI Workflow
Neuroreader® is designed to integrate into routine brain MRI protocols with minimal disruption.
MRI Acquisition
A standard 3D T1 sequence is acquired on a 1.5T or 3.0T scanner without contrast.
Secure Upload or PACS Routing
Images are uploaded securely to the Neuroreader® system or routed via PACS integration.
Automated Segmentation
The software automatically segments and quantifies 83 brain structures.
Report Generation
A customized volumetric report is generated and returned in under 10 minutes.
Inside the Neuroreader® Report
Every Neuroreader® report includes:
- Total Intracranial Volume (mTIV)
- Left-Right Asymmetry Index (13 structures)
- Brain volume assessment of 83 structures (mL, percentiles, Z-scores)
- Quality assessment images
- Brain heat maps highlighting percentile values
- Charts for selected brain structures
- Longitudinal charts (with mediation server)
- 2D/3D overlays in NIfTI and DICOM formats
- JSON values for research use
The result is a structured, reproducible, and clinically actionable volumetric assessment.

Manual Segmentation vs. Neuroreader®
Manual Segmentation
- Time-intensive
- Inter-reader variability
- Limited structures
- Subjective interpretation
- Labor intensive
Neuroreader®
- <10 minute automated report
- Standardized segmentation
- 83 brain volumes
- Quantitative percentiles & Z-scores
- Fully automated
Neuroreader® brings efficiency and objectivity to volumetric MRI analysis.
Built for Enterprise Radiology
Neuroreader® supports:
- Multi-site deployment
- PACS integration
- Secure web access
- Zero-footprint compatibility
- Standardized outputs across readers
Regulatory Compliance
& Clinical Certification
Designed to meet U.S. and international medical device standards.
All PHI data is handled securely in accordance with healthcare regulatory requirements.
Request a Sample Neuroreader® Report
See how automated brain volumetrics can enhance diagnostic confidence and streamline MRI interpretation.
